Page 1 of 1
Potensrekke
Posted: 17/08-2023 18:23
by ylvam
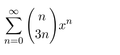
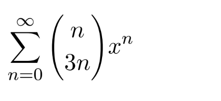
Hvordan finner jeg konvergensradiusen til denne rekken?

- B92E7F75-0845-449D-9821-8C77B4F15C03.jpeg (18.95 KiB) Viewed 13039 times
Re: Potensrekke
Posted: 18/08-2023 14:34
by fish
Siden [tex]\binom{n}{3n}=0[/tex] for [tex]n\geq 1[/tex], vil rekka bare bestå av konstanten 1 og dermed konvergere for alle [tex]x[/tex].