Page 1 of 1
Matematikk R1 kap 3 Derivasjon
Posted: 25/02-2024 12:11
by Princessmjaumjau

- Skjermbilde 2024-02-25 kl. 12.07.05.png (22.87 KiB) Viewed 15869 times
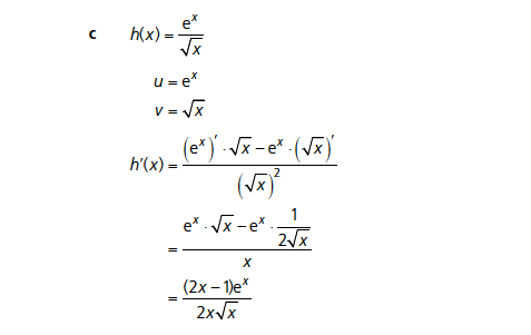
Kan noen forklare meg hvordan man har forkortet dette uttrykket?
Re: Matematikk R1 kap 3 Derivasjon
Posted: 25/02-2024 14:09
by jos
$\frac{e^x * \sqrt{x} - e^x *\frac{1}{2\sqrt{x}}}{x} =
\frac{e^x * \sqrt{x} - e^x *\frac{1}{2\sqrt{x}}}{x}*\frac{2\sqrt{x}}{2\sqrt{x}} = \frac{2x e^x - e^x}{2x\sqrt{x}} = \frac{(2x - 1)e^x}{2x\sqrt{x}}$
Re: Matematikk R1 kap 3 Derivasjon
Posted: 25/02-2024 14:29
by Princessmjaumjau
Tusen takk!
