Page 1 of 1
Matematikk R1 kap 4 Bruk av Derivasjon
Posted: 10/03-2024 11:35
by Princessmjaumjau
Hei!
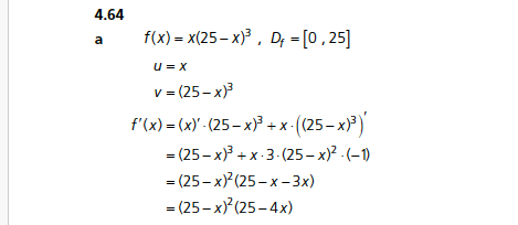
Noen som kan forklare meg hvordan dette uttrykket ble forkortet?

- Skjermbilde 2024-03-10 kl. 11.32.36.png (24.97 KiB) Viewed 19946 times
Re: Matematikk R1 kap 4 Bruk av Derivasjon
Posted: 10/03-2024 12:39
by jos
Jeg gjetter på at det er overgangen mellom den 3. og den 2. linjen nedenfra som er utfordringen:
$ f(x)´= (25 - x)^3 + x*3(25 - x)^2*(-1)\,$
Vi setter den den felles faktoren $(25 - x)^2\, $ utenfor parantes
og får $(25 - x)^2(( 25 - x) + 3x * (-1)) =
(25 - x)^2 (25 - 4x)$.
Re: Matematikk R1 kap 4 Bruk av Derivasjon
Posted: 10/03-2024 13:34
by Princessmjaumjau
Tusen takk!
